Giỏ hàng của bạn trống!
✪ Thông tin sách:
Tác giả: Nguyễn Đức Tấn, Nguyễn Đức Hòa, Phạm Lê Quốc Thắng.
Năm Xuất Bản: 2025
Nhà xuất bản: Đại Học Quốc Gia Hà Nội
Công ty phát hành: Đức Trí
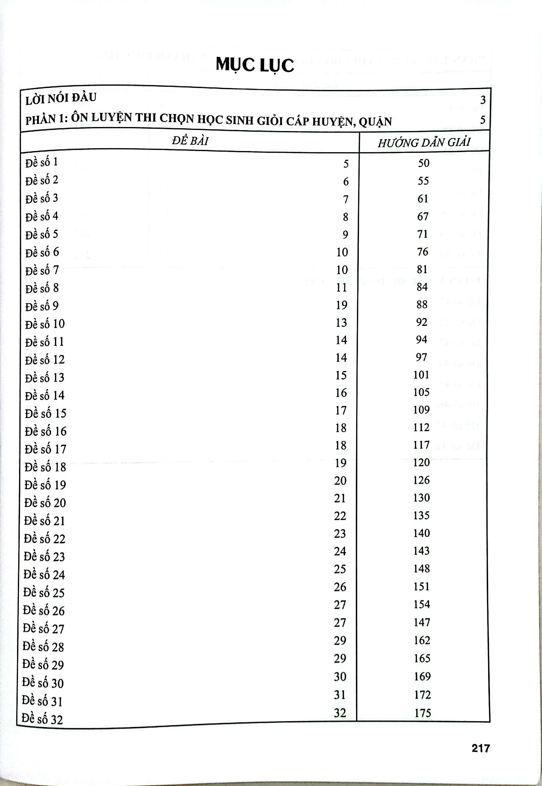
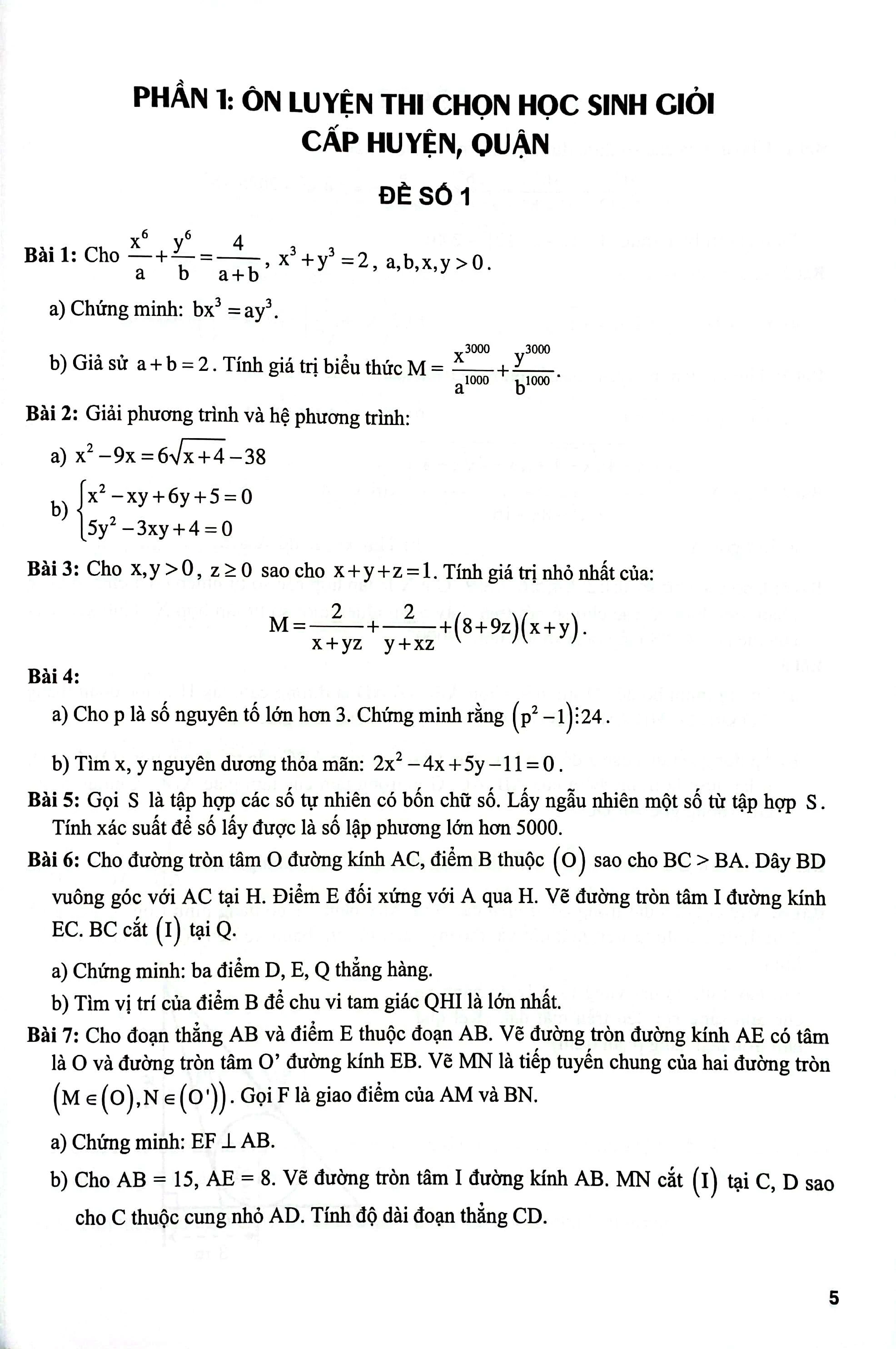
Số trang: 218 trang
Hình thức: Bìa mềm
Trọng lượng (gr): 200g
Kích Thước Bao Bì: 27 x 19 x 3.7 cm.

Đánh giá Bồi Dưỡng Học Sinh Giỏi Toán Lớp 9 (Sách này Miễn Phí Vận Chuyển)
Bạn chưa đánh giá sao cho sản phẩm này
Gửi đánh giá ngay| Thuộc tính | |
| Loại nắp | Bìa mềm |
| Loại phiên bản | Phiên bản thông thường |
| Ngôn ngữ | Tiếng Việt |
| Nhập khẩu/ trong nước | Trong nước |
| Quantity per Pack | 1 |
| Sản phẩm đặt theo yêu cầu | Đúng |